Estratto del documento

Opere Geotecniche M

TURNO II (A) Prova Scritta del 27 Febbraio 2016

NOME................................................... COGNOME ..........................................................................

Numero di Matricola ............................ Corso di Laurea Magistrale in Ingegneria Civile

Quesito 1

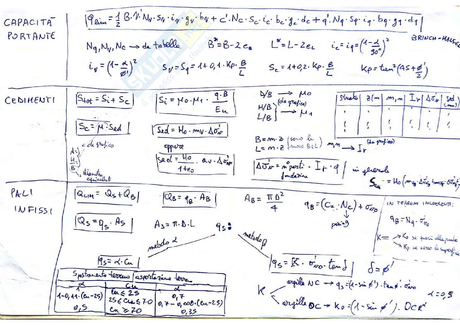
Fondazioni superficiali.

Si illustrino i delle fondazioni superficiali ed

 diversi meccanismi di collasso i fattori che influiscono

sulle tipologie di collasso. Per ogni meccanismo, si descriva il tipico andamento della curva carico-

cedimento ottenuta da una prova di carico.

per valutare la capacità portante delle fondazioni superficiali: dopo aver

 La soluzione di Terzaghi

specificato a quale dei meccanismi di collasso descritti al punto precedente fa riferimento tale

approccio, si illustrino i diversi contributi che compaiono nella formula, si specifichino le ipotesi alla

base della soluzione e si descriva la superficie di scorrimento adottata;

Utilizzando la formula generalizzata di Brinch-Hansen,

 si determini la capacità portante di una

(B=L=2 m) su un substrato coesivo saturo caratterizzato da = 55

fondazione superficiale quadrata c u

, nell’ipotesi che il

 3

kPa, = 19,0 kN/m piano di posa della fondazione si trovi a 1,5 m dal piano

sat

campagna e che la risultante del carico abbia inclinazione di 15°.

Quesito 2 il metodo dello (percorso tensionale) sul piano (s,t), stabilire quali sono le

Utilizzando stress-path

condizioni più critiche per la stabilità di un rilevato costruito su un substrato di argilla satura NC e

realizzato in due fasi successive, specificando i benefici che derivano dalla costruzione graduale

dell’opera. Prova Scritta di Opere Geotecniche M

TURNO I (A) 26 Maggio 2017

NOME.................................................... COGNOME ..........................................................................

Numero di Matricola ............................. Corso di Laurea Magistrale in Ingegneria Civile

Frequenza dell’Insegnamento:

Anno Accademico di TUTTI

Quesito 1

Prova penetrometrica statica con piezocono (CPTU) per la caratterizzazione geotecnica del sottosuolo.

Facendo riferimento agli abachi di Figura 1, di cui si dovranno specificare le grandezze rappresentate negli

assi, si illustrino le modalità di interpretazione delle misure CPTU ai fini della ricostruzione

durante l’avanzamento della punta nei terreni a

Si specifichino le

stratigrafica. condizioni di drenaggio

grana fine e in quelli a grana grossa.

Successivamente, facendo riferimento ai profili penetrometrici riportati in Figura 2, si classifichino i terreni

presenti alle profondità e Alle stesse profondità si calcoli il qualora

= 5,50 m 13 m. modulo confinato;

z z=

siano stati identificati terreni a grana fine, si stimi il loro e si valuti la loro .

resistenza al taglio

OCR c u

1000 Figura 1 Figura 2

Quesito 2 Si illustrino le diverse componenti di cedimento

Cedimenti delle fondazioni superficiali su terreni coesivi.

ed i meccanismi che governano ciascuna di esse. Si proceda quindi al calcolo del cedimento totale sotto il

centro della fondazione quadrata indicata in Figura 3, tenendo conto della situazione stratigrafica e dei

parametri assegnati. Nel risolvere il quesito, si precisi l’approccio di calcolo adottato, si giustifichi sempre la

scelta dei parametri e si descrivano le diverse fasi di calcolo. ( )

Segue sul retro

B =L= 4 m

Figura 3 Figura 4

120 kPa

1 m ARGILLA 1

 3

= 20 kN/m

sat 5 m

c = 65 kPa

u

E = 45 MPa

u 2

m = 0,20 m /MN; = 0,70

A

v

 3

= 20 kN/m ARGILLA 2

sat

c = 85 kPa 4 m

u

E = 60 MPa Figura 5

u 2

m = 0,12 m /MN; = 0,50

A

v Substrato rigido

Figura 6 Figura 7 Prova Scritta di Opere Geotecniche M

TURNO I (A) 16 Giugno 2017

NOME.................................................... COGNOME ..........................................................................

Numero di Matricola ............................. Corso di Laurea Magistrale in Ingegneria Civile

Anno Accademico di Frequenza dell’Insegnamento: TUTTI

Quesito 1 (punti 17)

Il metodo dell’analisi limite per la risoluzione dei problemi di stabilità in Ingegneria Geotecnica.

 Si enuncino i teoremi di estremo della teoria della plasticità;

 Si specifichino le ipotesi su cui si basa il metodo;

 Figura 1

Si consideri il meccanismo di collasso riportato in

Figura 1, descritto da una superficie di scorrimento a

spirale logaritmica, nell’ipotesi che valga il criterio di

 

Anteprima
Vedrai una selezione di 18 pagine su 144
Prove di esame svolte di Opere geotecniche M Pag. 1 Prove di esame svolte di Opere geotecniche M Pag. 2
Anteprima di 18 pagg. su 144.
Scarica il documento per vederlo tutto.
Prove di esame svolte di Opere geotecniche M Pag. 6
Anteprima di 18 pagg. su 144.
Scarica il documento per vederlo tutto.
Prove di esame svolte di Opere geotecniche M Pag. 11
Anteprima di 18 pagg. su 144.
Scarica il documento per vederlo tutto.
Prove di esame svolte di Opere geotecniche M Pag. 16
Anteprima di 18 pagg. su 144.
Scarica il documento per vederlo tutto.
Prove di esame svolte di Opere geotecniche M Pag. 21
Anteprima di 18 pagg. su 144.
Scarica il documento per vederlo tutto.
Prove di esame svolte di Opere geotecniche M Pag. 26
Anteprima di 18 pagg. su 144.
Scarica il documento per vederlo tutto.
Prove di esame svolte di Opere geotecniche M Pag. 31
Anteprima di 18 pagg. su 144.
Scarica il documento per vederlo tutto.
Prove di esame svolte di Opere geotecniche M Pag. 36
Anteprima di 18 pagg. su 144.
Scarica il documento per vederlo tutto.
Prove di esame svolte di Opere geotecniche M Pag. 41
Anteprima di 18 pagg. su 144.
Scarica il documento per vederlo tutto.
Prove di esame svolte di Opere geotecniche M Pag. 46
Anteprima di 18 pagg. su 144.
Scarica il documento per vederlo tutto.
Prove di esame svolte di Opere geotecniche M Pag. 51
Anteprima di 18 pagg. su 144.
Scarica il documento per vederlo tutto.
Prove di esame svolte di Opere geotecniche M Pag. 56
Anteprima di 18 pagg. su 144.
Scarica il documento per vederlo tutto.
Prove di esame svolte di Opere geotecniche M Pag. 61
Anteprima di 18 pagg. su 144.
Scarica il documento per vederlo tutto.
Prove di esame svolte di Opere geotecniche M Pag. 66
Anteprima di 18 pagg. su 144.
Scarica il documento per vederlo tutto.
Prove di esame svolte di Opere geotecniche M Pag. 71
Anteprima di 18 pagg. su 144.
Scarica il documento per vederlo tutto.
Prove di esame svolte di Opere geotecniche M Pag. 76
Anteprima di 18 pagg. su 144.
Scarica il documento per vederlo tutto.
Prove di esame svolte di Opere geotecniche M Pag. 81
1 su 144
D/illustrazione/soddisfatti o rimborsati
Acquista con carta o PayPal
Scarica i documenti tutte le volte che vuoi
Dettagli
SSD
Ingegneria civile e Architettura ICAR/07 Geotecnica

I contenuti di questa pagina costituiscono rielaborazioni personali del Publisher Ferros94 di informazioni apprese con la frequenza delle lezioni di Opere geotecniche M e studio autonomo di eventuali libri di riferimento in preparazione dell'esame finale o della tesi. Non devono intendersi come materiale ufficiale dell'università Università degli Studi di Bologna o del prof Tonni Laura.
Appunti correlati Invia appunti e guadagna

Domande e risposte

Hai bisogno di aiuto?
Chiedi alla community