Anteprima
Vedrai una selezione di 3 pagine su 7
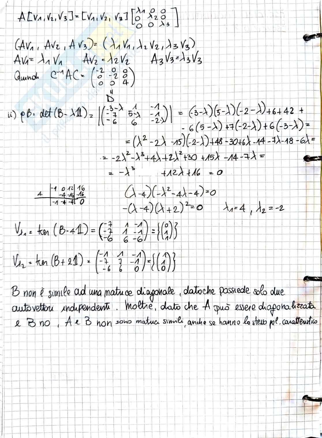
Geometria e algebra lineare: esercizi svolti su autovalori e diagonalizzazione Pag. 1 Geometria e algebra lineare: esercizi svolti su autovalori e diagonalizzazione Pag. 2
Anteprima di 3 pagg. su 7.
Scarica il documento per vederlo tutto.
Geometria e algebra lineare: esercizi svolti su autovalori e diagonalizzazione Pag. 6
1 su 7
D/illustrazione/soddisfatti o rimborsati
Acquista con carta o PayPal
Scarica i documenti tutte le volte che vuoi
Dettagli
SSD
Scienze matematiche e informatiche MAT/03 Geometria

I contenuti di questa pagina costituiscono rielaborazioni personali del Publisher fedilorenzo di informazioni apprese con la frequenza delle lezioni di Geometria e algebra lineare e studio autonomo di eventuali libri di riferimento in preparazione dell'esame finale o della tesi. Non devono intendersi come materiale ufficiale dell'università Università degli Studi di Firenze o del prof Ottaviani Giorgio.
Appunti correlati Invia appunti e guadagna

Domande e risposte

Hai bisogno di aiuto?
Chiedi alla community