Estratto del documento

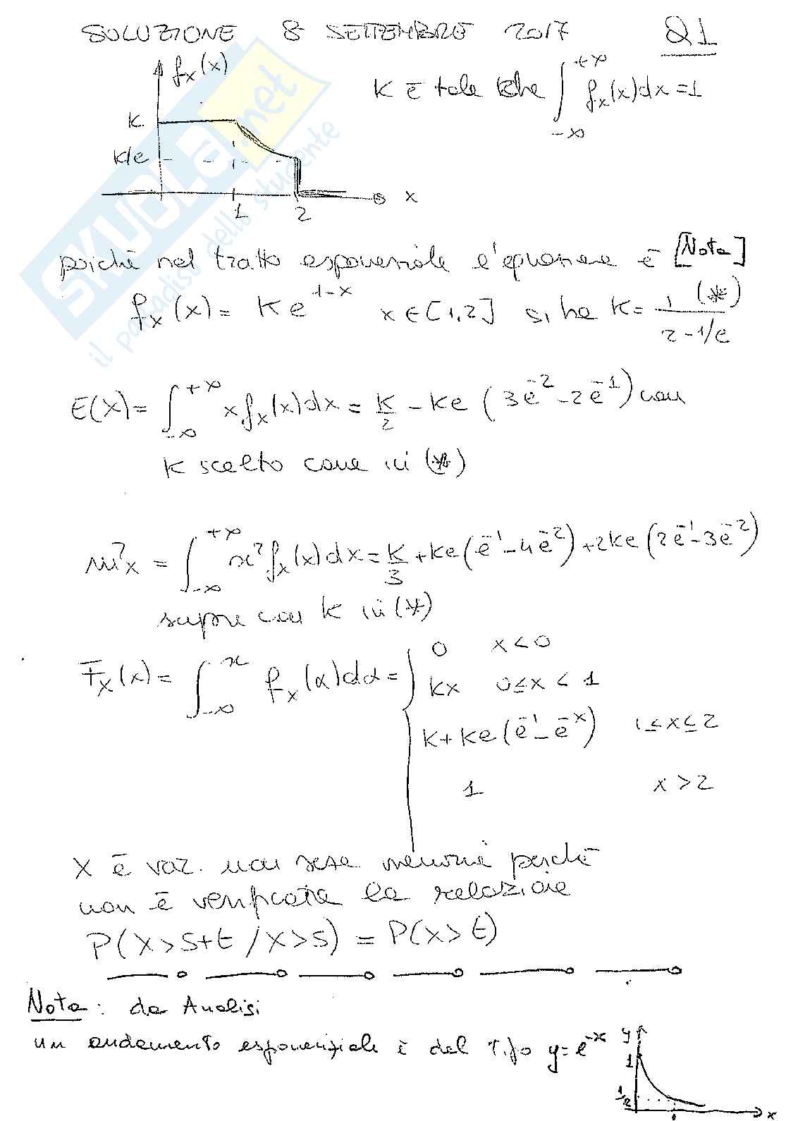
Esercizio 1

Esercizio 2

Esercizio 3 t t

=10sinc 2

R ( ) (10 )

Sia X(t) un processo aleatorio la cui funzione di autocorrelazione è . Il segnale X(t)

XX =10rect(

H( f ) f /10)

attraversa un sistema lineare tempo-invariante la cui funzione di trasferimento è . Sia

Y(t) il segnale in uscita. Sia Z(t) il segnale la cui densità spettrale di potenza è

d

= SS - Î

S ( f ) (2k) ( f 2k) k {-1, 0,1}

Z Y

Calcolare

1) la densità spettrale di potenza del segnale Y(t),

2) la funzione di autocorrelazione del segnale Y(t),

3) la potenza del segnale Y(t),

4) la funzione di autocorrelazione del segnale Z(t),

5) la sua potenza.

Esercizio 4

Dato un processo aleatorio x(t) Gaussiano stazionario in senso lato a valor medio nullo e varianza pari a 4, lo

si moltiplichi per un segnale deterministico a onda quadra g(t) che vale alternativamente +1 o -1 ogni T.

Calcolare:

1. La funzione densità di probabilità del 1° ordine del processo y(t) ottenuto moltiplicando x(t) e g(t)

2. Si dica se il processo y(t) è ancora Gaussiano

3. Si dica se il processo y(t) è stazionario in senso lato

Si consideri il processo z(t)=y(t)-y(t-T/2).

4. Si dica se z(t) è ancora Gaussiano

5. Si calcoli il suo valor medio

Esercizio 5 ()

Sia un segnale aleatorio stazionario in senso lato, la cui funzione di autocorrelazione è

() =

2 (1000 Questo viene moltiplicato per un valore costante positiva A e poi

2 (2000 ) + ).

sommato allo stesso valore A. Sia il segnale risultante, cioè Si supponga che

() () = () + . ()

vada in ingresso a un sistema lineare tempo invariante la cui funzione di trasferimento è () =

e sia il segnale in uscita.

( ) − ( ) ()

1600 400

Calcolare Teoria dei Segnali

27 aprile 2016

Esercizio 2

Sia X(t) un segnale aleatorio stazionario in senso lato con funzione di autocorrelazione uguale a

e sia Y(t) il segnale ottenuto moltiplicando X(t) per ove

()

= 1000 sinc(1000 ) cos(500 + Φ)

è una variabile aleatoria distribuita uniformemente in Infine si supponga che Y(t) venga

[0,

Φ 2].

posto in ingress a un filtro la cui funzione di trasferimento è e sia Z(t) il

() = (/600)

segnale in uscita. Calcolare (a) la potenza media dei segnale Y(t), (b) calcolare e disegnare la densità

spettrale di potenza del segnale Z(t), (c) la potenza media del segnale Z(t).

APPELLO - 28 gennaio 2020 Ing.Elettronica e Informatica

Esercizio 1: Teoria dei segnali aleatori 

Il processo aleatorio stazionario X(t) ha densita’ spettrale di potenza pari a S (f)= (f/4) . Al processo

x

X(t) viene sommato un segnale costante di valore 2. Sia Y(t) il processo risultante.

Y(t) passi attraverso un filtro avente H(f)= rect(f/2); sia Z(t) il processo filtrato.

Calcolare:

1) La funzione di correlazione del processo X(t), la sua potenza e il suo valore medio

- La f

Anteprima
Vedrai una selezione di 8 pagine su 35
Esercizi processi aleatori Pag. 1 Esercizi processi aleatori Pag. 2
Anteprima di 8 pagg. su 35.
Scarica il documento per vederlo tutto.
Esercizi processi aleatori Pag. 6
Anteprima di 8 pagg. su 35.
Scarica il documento per vederlo tutto.
Esercizi processi aleatori Pag. 11
Anteprima di 8 pagg. su 35.
Scarica il documento per vederlo tutto.
Esercizi processi aleatori Pag. 16
Anteprima di 8 pagg. su 35.
Scarica il documento per vederlo tutto.
Esercizi processi aleatori Pag. 21
Anteprima di 8 pagg. su 35.
Scarica il documento per vederlo tutto.
Esercizi processi aleatori Pag. 26
Anteprima di 8 pagg. su 35.
Scarica il documento per vederlo tutto.
Esercizi processi aleatori Pag. 31
1 su 35
D/illustrazione/soddisfatti o rimborsati
Acquista con carta o PayPal
Scarica i documenti tutte le volte che vuoi
Dettagli
SSD
Ingegneria industriale e dell'informazione ING-INF/05 Sistemi di elaborazione delle informazioni

I contenuti di questa pagina costituiscono rielaborazioni personali del Publisher Luca_HD di informazioni apprese con la frequenza delle lezioni di Teoria dei segnali e studio autonomo di eventuali libri di riferimento in preparazione dell'esame finale o della tesi. Non devono intendersi come materiale ufficiale dell'università Università degli Studi di Catania o del prof Morabito Giacomo.
Appunti correlati Invia appunti e guadagna

Domande e risposte

Hai bisogno di aiuto?
Chiedi alla community