Anteprima
Vedrai una selezione di 12 pagine su 55
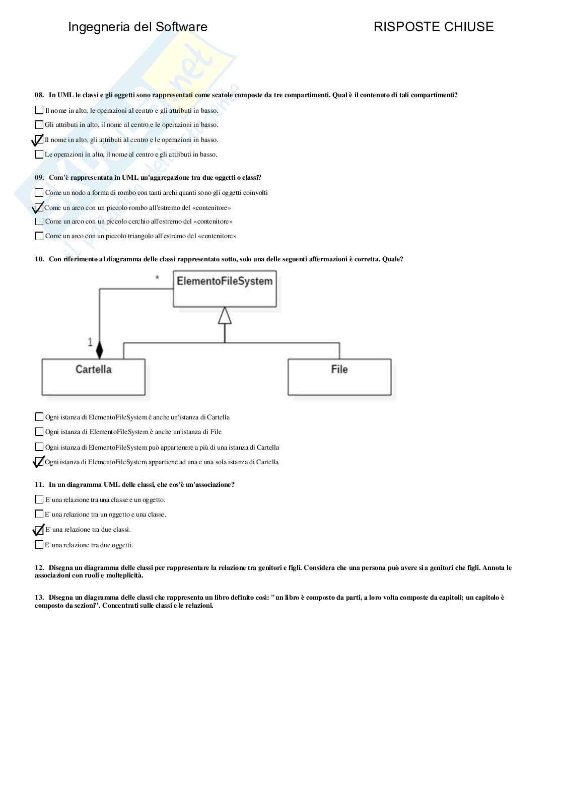
Ingegneria del software - Paniere compilato  Pag. 1 Ingegneria del software - Paniere compilato  Pag. 2
Anteprima di 12 pagg. su 55.
Scarica il documento per vederlo tutto.
Ingegneria del software - Paniere compilato  Pag. 6
Anteprima di 12 pagg. su 55.
Scarica il documento per vederlo tutto.
Ingegneria del software - Paniere compilato  Pag. 11
Anteprima di 12 pagg. su 55.
Scarica il documento per vederlo tutto.
Ingegneria del software - Paniere compilato  Pag. 16
Anteprima di 12 pagg. su 55.
Scarica il documento per vederlo tutto.
Ingegneria del software - Paniere compilato  Pag. 21
Anteprima di 12 pagg. su 55.
Scarica il documento per vederlo tutto.
Ingegneria del software - Paniere compilato  Pag. 26
Anteprima di 12 pagg. su 55.
Scarica il documento per vederlo tutto.
Ingegneria del software - Paniere compilato  Pag. 31
Anteprima di 12 pagg. su 55.
Scarica il documento per vederlo tutto.
Ingegneria del software - Paniere compilato  Pag. 36
Anteprima di 12 pagg. su 55.
Scarica il documento per vederlo tutto.
Ingegneria del software - Paniere compilato  Pag. 41
Anteprima di 12 pagg. su 55.
Scarica il documento per vederlo tutto.
Ingegneria del software - Paniere compilato  Pag. 46
Anteprima di 12 pagg. su 55.
Scarica il documento per vederlo tutto.
Ingegneria del software - Paniere compilato  Pag. 51
1 su 55
D/illustrazione/soddisfatti o rimborsati
Acquista con carta o PayPal
Scarica i documenti tutte le volte che vuoi
Dettagli
SSD
Ingegneria industriale e dell'informazione ING-INF/03 Telecomunicazioni

I contenuti di questa pagina costituiscono rielaborazioni personali del Publisher OneDocMan di informazioni apprese con la frequenza delle lezioni di Ingegneria del software e studio autonomo di eventuali libri di riferimento in preparazione dell'esame finale o della tesi. Non devono intendersi come materiale ufficiale dell'università Università telematica "e-Campus" di Novedrate (CO) o del prof Vetrella Sergio.
Appunti correlati Invia appunti e guadagna

Domande e risposte

Hai bisogno di aiuto?
Chiedi alla community