Anteprima
Vedrai una selezione di 1 pagina su 1
Spinta di un terrapieno con sovraccarico Pag. 1
1 su 1
Disdici quando vuoi 162x117
Disdici quando
vuoi
Acquista con carta
o PayPal
Scarica i documenti
tutte le volte che vuoi
Sintesi
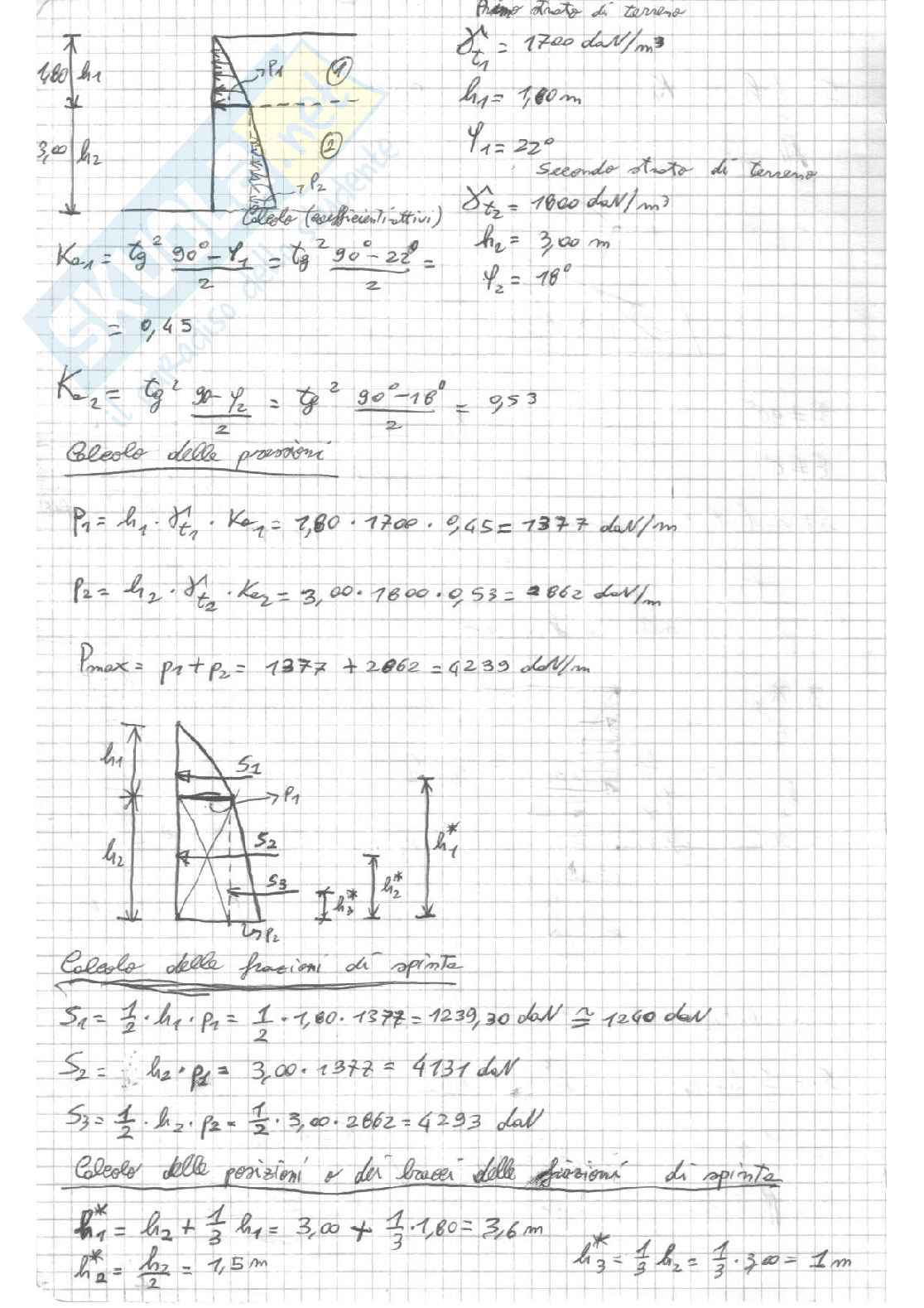
Spinta di un terrapieno con sovraccarico


In questo allegato è presentata la spinta di un terrapieno con sovraccarico, con il calcolo della spinta che un terrapieno subisce dal terreno.In questo appunto è illustrata la procedura di calcolo per potere calcolare la spinta di un terrapieno con un sovraccarico e per determinare la sua posizione. Il terrapieno è formato da due strati di terreno diversi e quindi la spinta verrà calcolata semplificando la formula di Coulomb.
Dettagli
Publisher
1 pagine
53 download