Anteprima
Vedrai una selezione di 1 pagina su 1
Spinta di un terrapieno con sovraccarico (2) Pag. 1
1 su 1
Disdici quando vuoi 162x117
Disdici quando
vuoi
Acquista con carta
o PayPal
Scarica i documenti
tutte le volte che vuoi
Sintesi
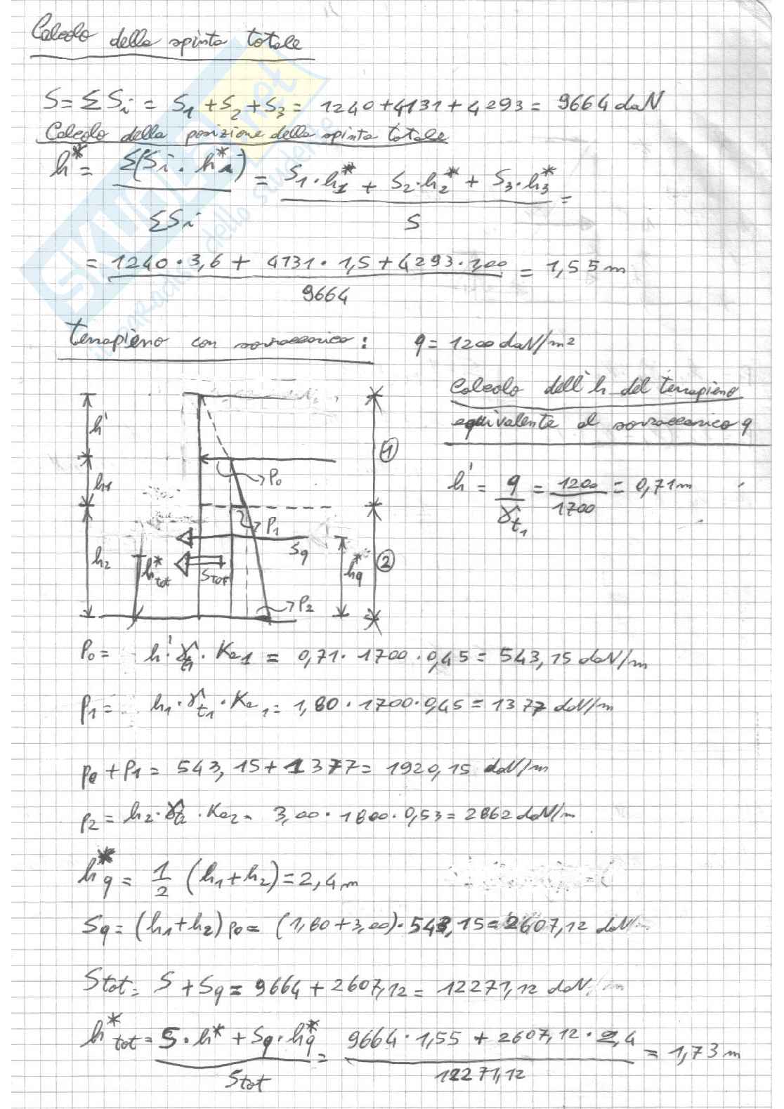
Spinta di un terrapieno 2


In questo file allegato viene descritta la spinta di un terrapieno con sovraccarico. In questo appunto viene continuato il precedente esercizio di una spinta di un terrapieno con sovraccarico. Viene quindi calcolata la spinta dovuta al carico e quindi la sua posizione, infine viene calcolata la spinta totale e la sua posizione finale.
Dettagli
Publisher
1 pagine
23 download