BigDestroyer
Ominide
Vota
Appunto verificato
Contenuto originale e autentico, validato dal Team di Esperti di Skuola.net Informazioni appunto verificato Informazioni appunto verificato hover
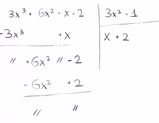
[math]{x}^{4}-{3}{a}{x}^{3}-{2}{a}^{2}{x}^{2}+{9}{a}^{3}{x}-{3}{a}^{4}:{x}^{2}-{3}{a}^{2}[/math]
scan0009.jpg

Domande e risposte

Hai bisogno di aiuto?
Chiedi alla community