_francesca.ricci
Ominide
Vota 4/5
Appunto verificato
Contenuto originale e autentico, validato dal Team di Esperti di Skuola.net Informazioni appunto verificato Informazioni appunto verificato hover

[math]\sqrt{(root(4)(7-4\sqrt(3)) \cdot \sqrt(2-\sqrt(3)))/(\sqrt(5+2\sqrt(6)) \cdot \sqrt(5-2\sqrt(6)))}=[/math]

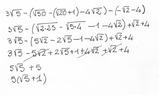
Svolgiamo i conti al numeratore e al denominatore: al numeratore riduciamo i due radicali allo stesso indice, mentre al denominatore portiamo tutto sotto la stessa radice e svolgiamo la moltiplicazione:

[math]\sqrt{root(4)((7-4\sqrt(3)) \cdot (2-\sqrt(3))^2)/(\sqrt((5+2\sqrt(6)) \cdot (5-2\sqrt(6))))}=[/math]

Al numeratore si svolge il quadrato del binomio, al denominatore si risolve la moltoplicazione come somma per differenza (il quadrato del primo meno il quadrato del secondo)

[math]\sqrt{root(4)((7-4\sqrt(3)) \cdot (4+3-4\sqrt(3)))/(\sqrt(25-24))}=[/math]

[math]\sqrt{root(4)((7-4\sqrt(3)) \cdot (7-4\sqrt(3)))/(\sqrt(1))}=[/math]

[math]\sqrt{root(4)((7-4\sqrt(3)) \cdot (7-4\sqrt(3)))}=[/math]

Possiamo scrivere

[math](7-4\sqrt{3}) \cdot (7-4\sqrt{3})[/math]
come
[math](7-4\sqrt{3})^2[/math]
e semplificarlo con la radice quarta:

[math]\sqrt{root(4)((7-4\sqrt(3))^2)}=[/math]

[math]\sqrt{\sqrt(7-4\sqrt(3))}=[/math]

A questo punto, invece di ridurre i radicali allo stesso indice, per scomporre applichiamo la regola dei redicali doppi:

[math]\sqrt{a+\sqrt(b)}=\sqrt((a+\sqrt(a^2-b))/2)+\sqrt((a-\sqrt(a^2-b))/2)[/math]
[math]\sqrt{a-\sqrt(b)}=\sqrt((a+\sqrt(a^2-b))/2)-\sqrt((a-\sqrt(a^2-b))/2)[/math]

[math]\sqrt{\sqrt(7-\sqrt(48))}=[/math]

[math]\sqrt{\sqrt((7+\sqrt(49-48))/2)-\sqrt((7-\sqrt(49-48))/2)}=[/math]

[math]\sqrt{\sqrt((7+\sqrt(1))/2)-\sqrt((7-\sqrt(1))/2)}=[/math]

[math]\sqrt{\sqrt((7+1)/2)-\sqrt((7-1)/2)}=[/math]

[math]\sqrt{\sqrt(8/2)-\sqrt(6/2)}=[/math]

[math]\sqrt{\sqrt(4)-\sqrt(3)}=[/math]

[math]\sqrt{2-\sqrt(3)}=[/math]

Si applica ancora la regola dei ragicali doppi:

[math]\sqrt{(2+\sqrt(4-3))/2}-\sqrt((2-\sqrt(4-3))/2)=[/math]

[math]\sqrt{(2+\sqrt(1))/2}-\sqrt((2-\sqrt(1))/2)=[/math]

[math]\sqrt{(2+1)/2}-\sqrt((2-1)/2)=[/math]

[math]\sqrt{3/2}-\sqrt(1/2)=[/math]

Possiamo scomporre i radicali

[math]\sqrt{3/2}[/math]
e
[math]\sqrt{1/2}[/math]
come

[math]\sqrt{3}/(\sqrt(2))[/math]
e
[math]\sqrt{1}/(\sqrt(2))[/math]
, quindi

[math]\sqrt{3}/(\sqrt(2))-\sqrt(1)/(\sqrt(2))=[/math]

[math]\sqrt{3}/(\sqrt(2))-1/(\sqrt(2))=[/math]

Sommando i due radicali otteniamo

[math](\sqrt{3}-1)/\sqrt(2)=[/math]

poi si razionalizza

[math](\sqrt{3}-1)/\sqrt(2) \cdot \sqrt(2)/\sqrt(2)=[/math]

[math]((\sqrt{3}-1) \cdot \sqrt(2))/(\sqrt(2) \cdot \sqrt(2))=[/math]

[math](\sqrt{6}-\sqrt(2))/2[/math]

Domande e risposte

Hai bisogno di aiuto?
Chiedi alla community