In questo appunto di matematica è presentato il Massimo Comune Divisore. All'interno del testo è proposta una definizione del Massimo Comune Divisore, il suo utilizzo pratico e una serie di esempi che hanno lo scopo di proporre una visone operativa allo studente ponendo l'accento sui diversi passaggi risolutivi che portano al calcolo di questo numero.
Massimo comune divisore: cos'è
Volendo definire questo numero possiamo dire che: il massimo comune divisore di numeri naturali
Come calcolare il massimo comune divisore
Di seguito andiamo a sintetizzare i passaggi che ci permettono di calcolare il massimo comune divisore di due o più numeri naturali. I passaggi da compiere per arrivare alla soluzione sono due:- si scompongono i numeri in fattori primi;
- si moltiplicano tra loro i fattori comuni, presi una sola volta e con l'esponente minore.
Con la dicitura fattori primi di un numero intero positivo si indicano quei numeri primi che lo dividono esattamente, cioè senza resto. Quando invece parliamo di fattori comuni, sono quei fattori primi che durante la scomposizione compaiono in tutti i numeri presi in esame e di cui vogliamo calcolare im massimo comune divisore.
Minimo comune multiplo e massimo comune divisore: a cosa servono?
Imparare a calcolare il minimo comune multiplo (mcm) o conoscere la definizione di massimo comune divisore (MCD) è fondamentale per risolvere problemi ed esercizi più complessi in cui compaiono le frazioni o la messa in evidenza. Perciò quindi, dopo aver definito il massimo comune divisore, andiamo a fare lo stesso con il minimo comune multiplo.
Il minimo comune multiplo è definito come il minore tra i multipli comuni a due o più numeri interi positivi.
I passaggi da compiere per calcolare il mcm sono due:
- si scompongono i numeri dati in fattori primi;
- si moltiplicano tra loro i fattori primi comuni e non comuni, presi una sola volta e con l'esponente massimo.
Per ulteriori approfondimenti sul minimo comune multiplo vedi anche qua
Il massimo comune divisore e le frazioni
Uno dei principali campi di adattamento del MCD è sicuramente la riduzione ai minimi termini delle frazioni. Nel caso in cui ci torvassimo davanti ad una frazione non ridotta ai minimi termini infatti, è possibile utilizzare le regole appena studiate, applicandole sia al numeratore che al denominatore per arrivare al risultato richiesto. Un esempio è il seguente caso:
Massimo comune divisore: esempi
Di seguito sono proposti alcuni esercizi che cercano di far coprendere allo studente l'applicazione dei principi appena spiegati. Tutti gli esempi proposti sono accompagnati da un commento dei vari passaggi.Calcolare MCD(60, 27).
Il primo passo è quello di scomporre ogni singolo numero in fattori primi e di trovare eventuali potenze. Vediamo subito come fare con 27 e 60.

A questo punto individuiamo i fattori comuni trovati (3) e possiamo calcolare il MCD prendendoli con l'esponente più piccolo:

Procediamo ora con un altro esempio simie e andiamo a calcolare MCD(240, 270).
Anche questa volta effettuiamo una scomposizione dei numeri di cui vogliamo calcolare il MCD.

Da notare come nella scomposizione di 240 e 270 abbiamo utilizzato le proprietà delle potenze.
![]()
Andiamo ora a calcolare il MCD tra 15, 45 e 75.
Partiamo come al solito dalla scomposizione dei vari numeri e poi terminiamo con il calcolo del MCD.

Per ulteriori approfondimenti sul massimo comun divisore vedi anche qua
Massimo comune divisore:problema
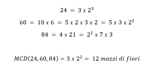
Di seguito viene proposto un problema legato ad un contesto concreto, in questo modo si vuole mettere il MCD all'interno di una situazione di vita reale e risulta più comprensibile apprenderne le applicazioni pratiche. La traccia del problema è la seguente:Giovanni il fioraio dispone di 24 margherite, 60 ciclamini e 84 tulipani. Quanti mazzetti uguali tra loro potrà fare e quale sarà la loro composizione?
Dopo aver letto il testo ed aver compreso a pieno sia i dati che l'incognita richiesta, procediamo con lo svolgimento e andiamo ad individuare le possibili soluzione: il problema ci chiede di calcolare il MCD tra 24, 60 e 84. Quindi:
