_antoniobernardo
Ominide
Vota
Appunto verificato
Contenuto originale e autentico, validato dal Team di Esperti di Skuola.net Informazioni appunto verificato Informazioni appunto verificato hover

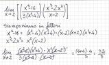
Studio del seguente limite di funzione:

[math]\lim_{{{x}\to\frac{\pi}{{2}}}}{\left({2}{x}{t}{g}{x}-\frac{\pi}{ \cos{{x}}}\right)}[/math]

lim_e25.jpg

Domande e risposte

Hai bisogno di aiuto?
Chiedi alla community