Concetti Chiave
- Inizia l'esercizio aprendo Derive e utilizzando correttamente le parentesi per scrivere l'espressione.
- Utilizza il comando "Semplifica" seguito da "Base" per ottenere il risultato desiderato.
- Procedi selezionando operazioni specifiche, come la sottrazione, e continua a semplificare.
- Ripeti l'uso di "Semplifica" e "Base" per operazioni di moltiplicazione fino a ottenere il risultato.
- Controlla che la scrittura sia corretta, eliminando segni superflui prima di completare l'esercizio.
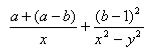
ESERCIZIO 1: Calcola il valore della seguente espressione
Avvia Derive. Per scrivere l'espressione, presta molta attenzione all'uso delle parentesi. La scrittura corretta è
![]()
Comincia dalla prima parentesi tonda puntando con il mouse il segno meno e cliccando più volte fino a ottenere

Quindi, clicca su "Semplifica" e poi su "Base"

Ottieni

Seleziona il segno "-" dell'operazione da eseguire. Ottieni
![]()
Quindi "Semplifica" "Base"

ottieni
![]()
Seleziona l'operazione di sottrazione dell'ultima parentesi. Quindi ripeti la procedura "Semplifica" "Base". Ottieni

Seleziona la prima operazione di moltiplicazione puntandola con il mouse e cliccando più volte

Ripeti i comandi "Semplifica" "Base". Ottieni
![]()
Punta ancora la prima operazione di moltiplicazione, cliccando ottieni
![]()
"Semplifica" "Base"
![]()
La scrittura non è formalmente corretta, il primo segno "+" è superfluo.
Seleziona la prima parentesi
![]()
"Semplifica" "Base", ottieni
![]()
Dovresti già sapere che il risultato del prodotto è 0. Comunque, seleziona l'operazione, quindi "Semplifica" "Base"

Non ti resta che stamparla e ricopiarla sul quaderno.
FINE