Anteprima
Vedrai una selezione di 7 pagine su 28
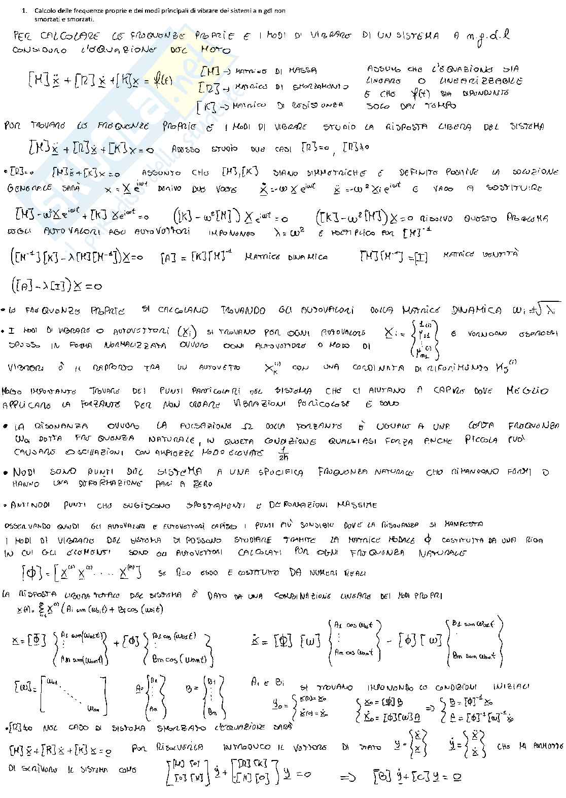
Risposte alle domande aperte della 2 parte dell’esame di Modellistica e simulazione dei sistemi meccanici Pag. 1 Risposte alle domande aperte della 2 parte dell’esame di Modellistica e simulazione dei sistemi meccanici Pag. 2
Anteprima di 7 pagg. su 28.
Scarica il documento per vederlo tutto.
Risposte alle domande aperte della 2 parte dell’esame di Modellistica e simulazione dei sistemi meccanici Pag. 6
Anteprima di 7 pagg. su 28.
Scarica il documento per vederlo tutto.
Risposte alle domande aperte della 2 parte dell’esame di Modellistica e simulazione dei sistemi meccanici Pag. 11
Anteprima di 7 pagg. su 28.
Scarica il documento per vederlo tutto.
Risposte alle domande aperte della 2 parte dell’esame di Modellistica e simulazione dei sistemi meccanici Pag. 16
Anteprima di 7 pagg. su 28.
Scarica il documento per vederlo tutto.
Risposte alle domande aperte della 2 parte dell’esame di Modellistica e simulazione dei sistemi meccanici Pag. 21
Anteprima di 7 pagg. su 28.
Scarica il documento per vederlo tutto.
Risposte alle domande aperte della 2 parte dell’esame di Modellistica e simulazione dei sistemi meccanici Pag. 26
1 su 28
D/illustrazione/soddisfatti o rimborsati
Acquista con carta o PayPal
Scarica i documenti tutte le volte che vuoi
Dettagli
SSD
Ingegneria industriale e dell'informazione ING-IND/13 Meccanica applicata alle macchine

I contenuti di questa pagina costituiscono rielaborazioni personali del Publisher Lukepriol di informazioni apprese con la frequenza delle lezioni di Modellistica e simulazione dei sistemi meccanici e studio autonomo di eventuali libri di riferimento in preparazione dell'esame finale o della tesi. Non devono intendersi come materiale ufficiale dell'università Università degli Studi di Catania o del prof Fichera Gabriele.
Appunti correlati Invia appunti e guadagna

Domande e risposte

Hai bisogno di aiuto?
Chiedi alla community