Anteprima
Vedrai una selezione di 1 pagina su 1
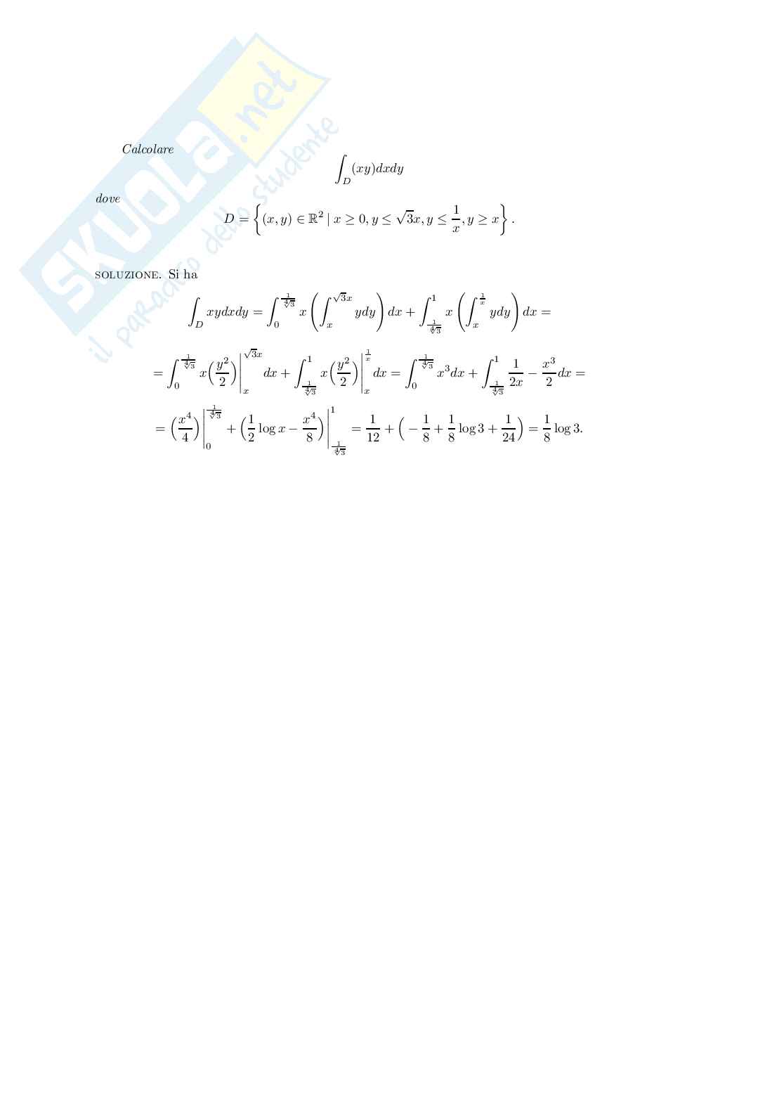
Integrali: [math]\int_{{{D}}}{\left({x}{y}\right)}{\left.{d}{x}\right.}{\left.{d}{y}\right.}[/math] Pag. 1
1 su 1
Disdici quando vuoi 162x117
Disdici quando
vuoi
Acquista con carta
o PayPal
Scarica i documenti
tutte le volte che vuoi
Sintesi

[math]\int_{{{D}}}{\left({x}{y}\right)}{\left.{d}{x}\right.}{\left.{d}{y}\right.}[/math]

Dettagli
Publisher
1 pagine