Anteprima
Vedrai una selezione di 1 pagina su 1
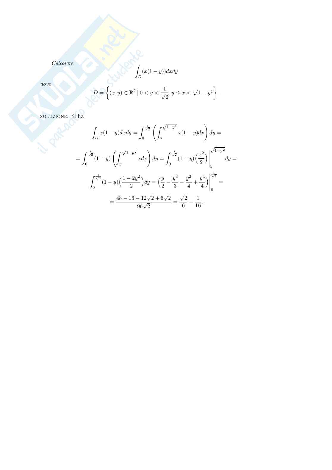
Integrali: [math] \int_{{{D}}}{\left({x}{\left({1}-{y}\right)}\right)}{\left.{d}{x}\right.}{\left.{d}{y}\right.} [/math] Pag. 1
1 su 1
Disdici quando vuoi 162x117
Disdici quando
vuoi
Acquista con carta
o PayPal
Scarica i documenti
tutte le volte che vuoi
Sintesi

[math] \int_{{{D}}}{\left({x}{\left({1}-{y}\right)}\right)}{\left.{d}{x}\right.}{\left.{d}{y}\right.} [/math]

Dettagli
Publisher
1 pagine