Anteprima
Vedrai una selezione di 1 pagina su 1
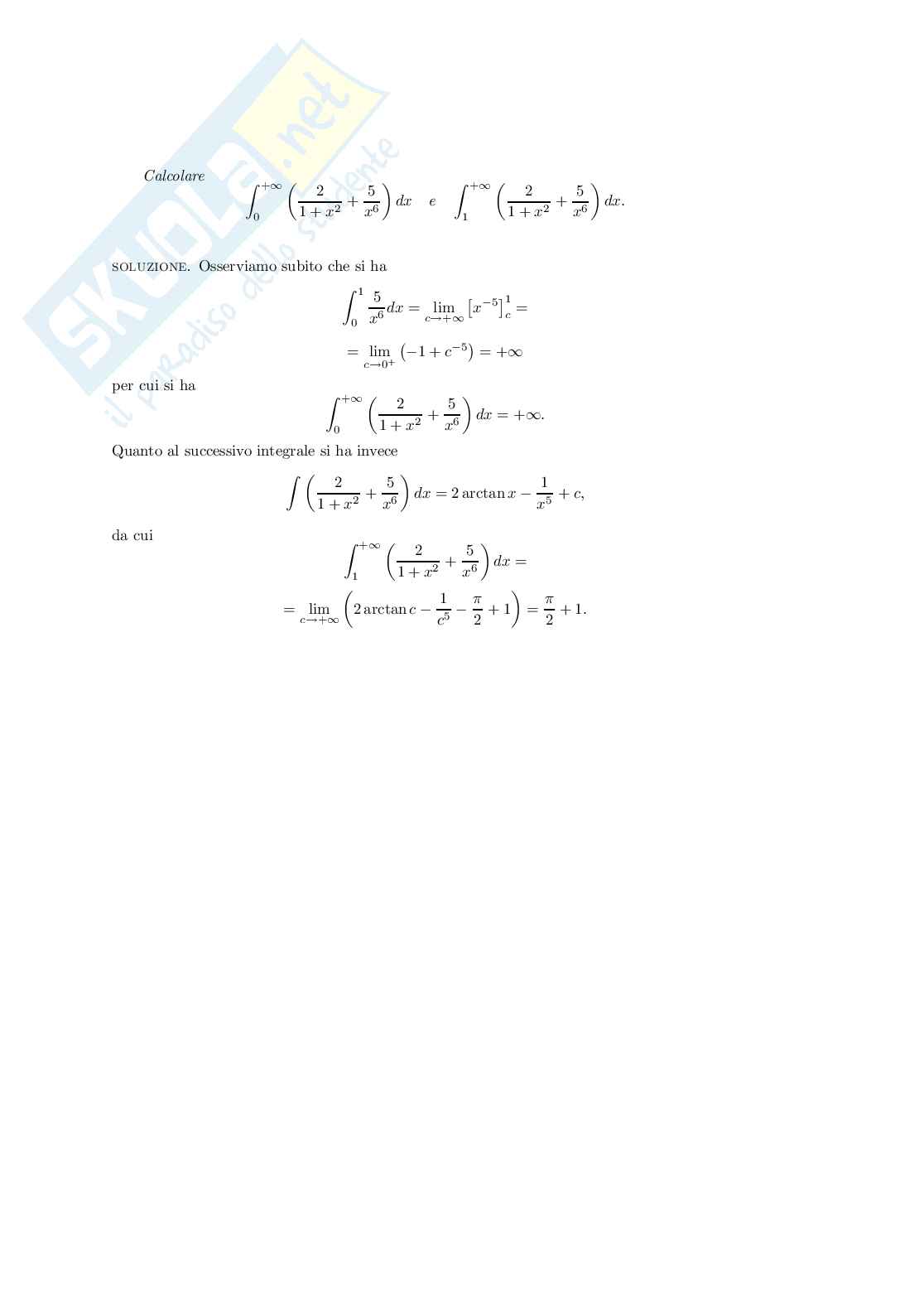
Integrali: [math] {\int_{{{0}}}^{{+\infty}}}{\left(\frac{2}{{{1}+{x}^{2}}}+\frac{5}{{x}^{6}}\right)}{\left.{d}{x}\right.}{e}{\int_{{{1}}}^{{+\infty}}}{\left(\frac{2}{{{1}+{x}^{2}}}+\frac{5}{{x}^{6}}\right)}{\left.{d}{x}\right.} [/math] Pag. 1
1 su 1
Disdici quando vuoi 162x117
Disdici quando
vuoi
Acquista con carta
o PayPal
Scarica i documenti
tutte le volte che vuoi
Sintesi
Svolgimento del seguente integrale
[math] {\int_{{{0}}}^{{+\infty}}}{\left(\frac{2}{{{1}+{x}^{2}}}+\frac{5}{{x}^{6}}\right)}{\left.{d}{x}\right.}{e}{\int_{{{1}}}^{{+\infty}}}{\left(\frac{2}{{{1}+{x}^{2}}}+\frac{5}{{x}^{6}}\right)}{\left.{d}{x}\right.} [/math]
Dettagli
Publisher
1 pagine