Anteprima
Vedrai una selezione di 5 pagine su 16
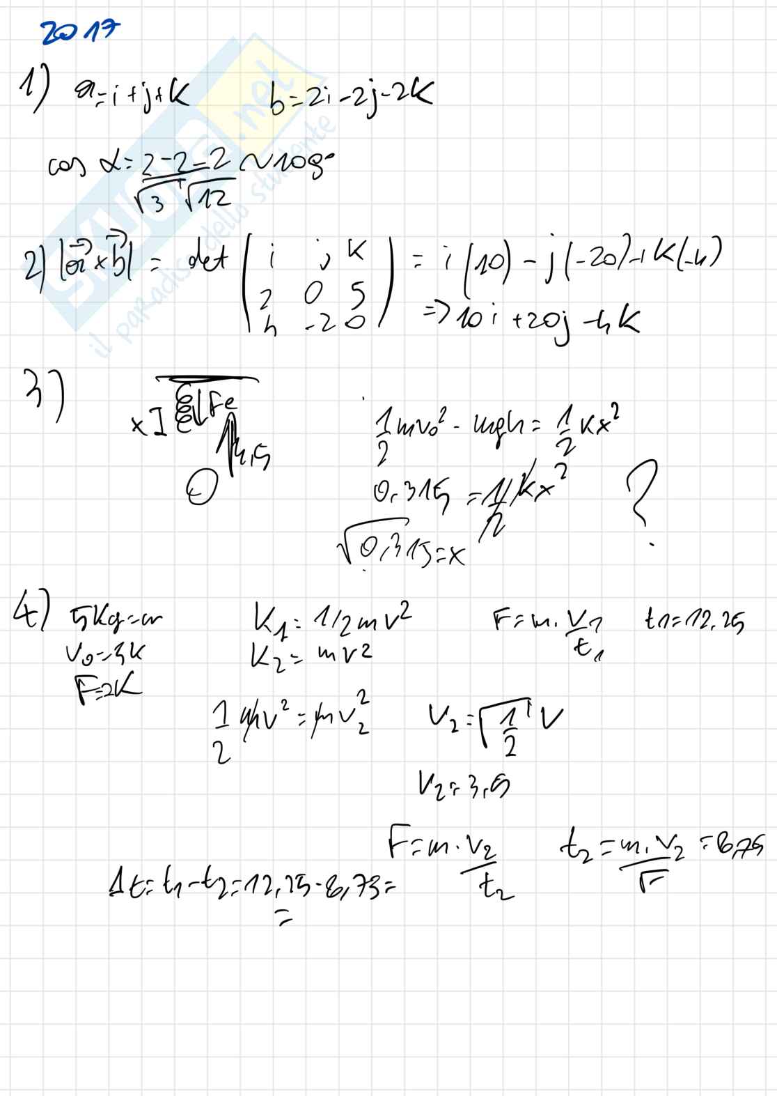
Esercitazione esame Fisica sperimentale I Pag. 1 Esercitazione esame Fisica sperimentale I Pag. 2
Anteprima di 5 pagg. su 16.
Scarica il documento per vederlo tutto.
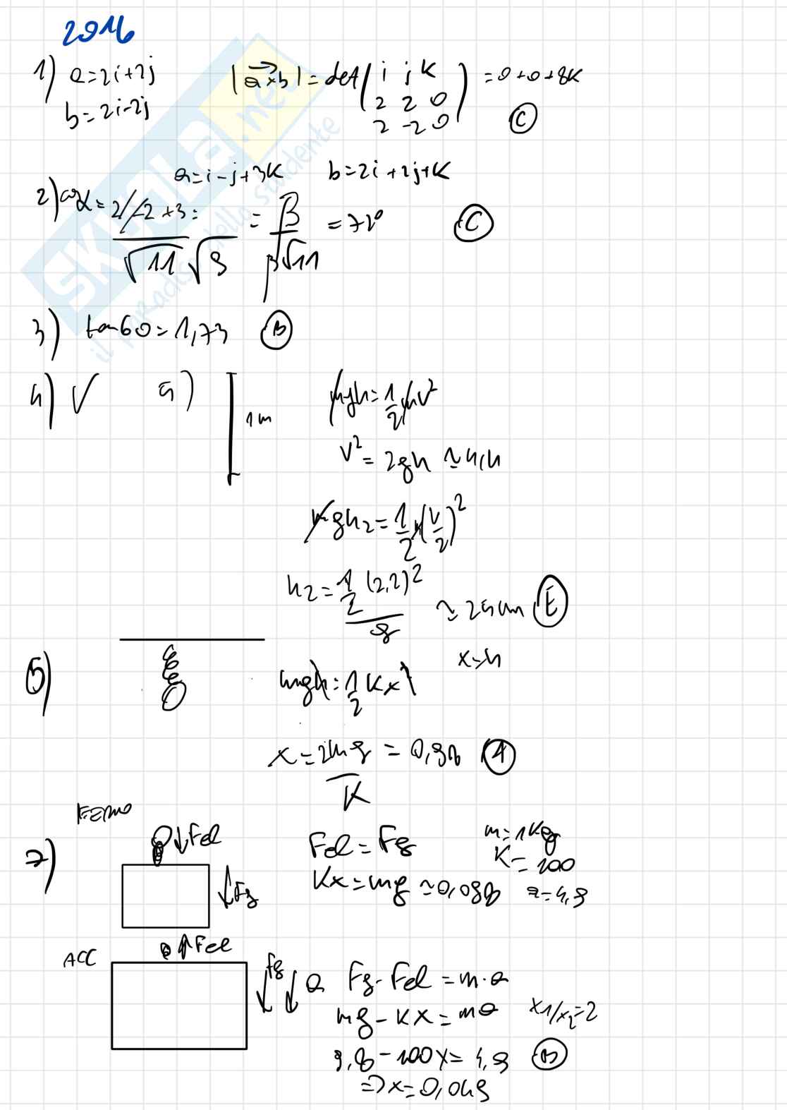
Esercitazione esame Fisica sperimentale I Pag. 6
Anteprima di 5 pagg. su 16.
Scarica il documento per vederlo tutto.
Esercitazione esame Fisica sperimentale I Pag. 11
Anteprima di 5 pagg. su 16.
Scarica il documento per vederlo tutto.
Esercitazione esame Fisica sperimentale I Pag. 16
1 su 16
D/illustrazione/soddisfatti o rimborsati
Acquista con carta o PayPal
Scarica i documenti tutte le volte che vuoi
Dettagli
SSD
Scienze fisiche FIS/01 Fisica sperimentale

I contenuti di questa pagina costituiscono rielaborazioni personali del Publisher alter.verse di informazioni apprese con la frequenza delle lezioni di Fisica sperimentale I e studio autonomo di eventuali libri di riferimento in preparazione dell'esame finale o della tesi. Non devono intendersi come materiale ufficiale dell'università Università degli Studi di Brescia o del prof Venturelli Luca.
Appunti correlati Invia appunti e guadagna

Domande e risposte

Hai bisogno di aiuto?
Chiedi alla community